Dane kontaktowe
Grupa Gadżety.pl
GadżetyReklamowe.pl
ul. Cybernetyki 10
02-677 Warszawa
Biuro handlowe w Gdańsku
ul. Chmielna 26,
80-784 Gdańsk
Email: gdansk@gadzetyreklamowe.pl
Centrala
Telefon: +48 7 333 888 44
Telefon: +48 7 333 888 55
Gdańsk
Telefon : +48 791 653 556
Jesteśmy do Twojej dyspozycji

To kupują Klienci z Trójmiasta
Gadżety reklamowe Gdańsk – czyli coś więcej niż pamiątki z bursztynem
🌆 Gdańsk – stolica województwa pomorskiego i perła północy Polski – to miasto, które łączy tradycję, nowoczesność i biznesowy potencjał 💼⚓. Położony nad Morzem Bałtyckim, u ujścia Motławy do Wisły, wspólnie z Sopotem i Gdynią tworzy tętniące życiem Trójmiasto. To nie tylko węzeł komunikacyjny północnej Polski i ważny ośrodek gospodarki morskiej z dużym portem handlowym, ale również centrum kulturalne, naukowe i ekonomiczne regionu 🌍✨.
Gdańsk przyciąga każdego roku tysiące turystów i przedsiębiorców. Oprócz urokliwych plaż i nadmorskiego klimatu oferuje nowoczesną infrastrukturę biznesową, z której słynie cała północ kraju. W prestiżowych lokalizacjach, takich jak Gdańsk Business Center, Opera Office, Alchemia, Olivia Business Center czy nowy wieżowiec Olivia Star, swoje siedziby mają globalne marki i liderzy branż 🏢🌐 – m.in. Alior Bank, FUJIFILM, Noble Bank, Nordea, PwC, RICOH, Grupa RMF, MANPOWER, Miele, T-Mobile, Colliers International, Energa, Siemens, Bayer, PZU, Allianz, Generali, Deloitte, ThyssenKrupp czy nawet Amazon.
Choć to światowe koncerny z ugruntowaną pozycją, one również chętnie sięgają po gadżety reklamowe Gdańsk 🎁. Bo w świecie marketingu nie ma znaczenia, jak duża jest marka – liczy się skuteczność przekazu i personalizacja.
Wśród najczęściej wybieranych produktów dominują:
🖊️ eleganckie długopisy i zestawy piśmiennicze,
☕ kubki termiczne z logo,
📓 notatniki reklamowe dla pracowników biurowych,
🔋 powerbanki i pendrive’y,
🧢 odzież firmowa – koszulki i bluzy z nadrukiem,
🎯 a także stylowe gadżety premium dla partnerów biznesowych.
👉 Dzięki nim gadżety reklamowe Gdańsk stają się nieodłącznym elementem komunikacji marek, pomagając zarówno lokalnym firmom, jak i międzynarodowym korporacjom budować rozpoznawalność i pozytywny wizerunek wśród klientów oraz partnerów.

Z gadżetów reklamowych Gdańsk korzystają najwięksi, skorzystaj i Ty
🎁 Wykorzystywanie gadżetów reklamowych w działaniach promocyjnych to dziś nie tylko norma, ale wręcz podstawa skutecznego marketingu 💼✨. To żaden przeżytek ani ujma dla marki — wręcz przeciwnie! Nawet największe miasta, takie jak Kraków ze swoimi eleganckimi gadżetami reklamowymi Kraków, czy Katowice, doskonale rozumieją ich potencjał i z sukcesem wykorzystują go w promocji swoich firm, instytucji i wydarzeń.
Nie inaczej dzieje się na Pomorzu. Gadżety reklamowe Gdynia czy gadżety reklamowe Sopot to synonim nowoczesności, stylu i funkcjonalności ⚓🌊. Dzisiejsze akcesoria promocyjne łączą w sobie unikalny design, trwałość i użyteczność, dzięki czemu są postrzegane jako przyjemny, elegancki i praktyczny upominek. Współczesny klient nie oczekuje nachalnej reklamy — oczekuje emocji, gestu i relacji.
Dlatego gadżety reklamowe stały się językiem nowoczesnej komunikacji:
🤝 wręczane podczas spotkań biznesowych pomagają „przełamać pierwsze lody”,
🎯 na targach i konferencjach stają się nośnikiem marki,
🌟 w relacjach z klientami – symbolem uznania i wdzięczności.
Każdy taki drobiazg ma znaczenie. Dla jednej strony to radość z wręczenia prezentu, dla drugiej – poczucie wyróżnienia i chęć odwzajemnienia pozytywnego gestu. To właśnie dzięki temu gadżety reklamowe Gdańsk, Gdynia czy Sopot skutecznie wzmacniają wizerunek marki, budują lojalność i pozwalają dotrzeć do nowych odbiorców — zarówno w biurach, jak i podczas eventów, konferencji czy festiwali 🌍💬.
👉 Mały gest, duży efekt – tak działa magia gadżetów reklamowych Trójmiasta!

Z jakich gadżetów reklamowych Gdańsk korzysta?
🌊 Gdańsk to miasto, które kojarzy się przede wszystkim z wakacjami, plażą, odpoczynkiem i radością. Gdy słyszymy jego nazwę, oczami wyobraźni widzimy Motławę, Długi Targ i roześmianych turystów spacerujących po nabrzeżu 🌞⛵. Dopiero w dalszym planie dostrzegamy nowoczesne biurowce i ogromny potencjał gospodarczy miasta. Dlatego właśnie niełatwo znaleźć taki gadżet reklamowy Gdańsk, który łączyłby w sobie charakter biznesowy i wakacyjny klimat nadmorskiej pamiątki – a jednocześnie pozostawał produktem wartościowym, eleganckim i funkcjonalnym, a nie jednorazowym upominkiem.
Podobny problem mają firmy na południu – np. w przypadku gadżetów reklamowych Katowice, gdzie równie trudno połączyć design z industrialnym, śląskim charakterem. W obu przypadkach pomogliśmy klientom dobrać gadżety, które idealnie oddają ducha miejsca: dopasowane kolorystycznie, materiałowo i symbolicznie do miasta. W Gdańsku pojawiły się więc elementy bursztynu, grafiki fal czy żagli, natomiast w Katowicach – gadżety z karbonową powłoką symbolizującą przemysłowy charakter regionu ⚙️💎.
W Trójmieście ogromną popularnością cieszą się obecnie:
🕰️ Zegary i stacje pogodowe – praktyczne, stylowe i nawiązujące do zmiennego nadmorskiego klimatu,
☔ Parasole reklamowe – klasyczne, składane lub sztormowe, idealne pod duży nadruk logo firmy,
🎒 Torby sportowe, plecaki i worki żeglarskie – niezbędne wśród aktywnych mieszkańców i turystów,
🧢 Czapki reklamowe, piłki plażowe i koce reklamowe – tworzące gotowy „zestaw plażowicza Gdańskiego”,
🚴 Gadżety rowerowe i sportowe – od bidonów po smartwatche i kamerki sportowe, idealne dla miłośników aktywności.
Trójmiejscy przedsiębiorcy z dumą wykorzystują gadżety reklamowe Gdańsk, gadżety reklamowe Gdynia i gadżety reklamowe Sopot, aby podkreślać zielony, ekologiczny i aktywny charakter regionu 🌿💪. Ścieżki rowerowe, nadmorskie bulwary i zewnętrzne siłownie inspirują ich do inwestowania w produkty, które łączą sport, funkcjonalność i styl.
👉 Takie gadżety reklamowe Trójmiasto – oznaczone herbem miast i logo firm – nie tylko przyciągają turystów, ale też skutecznie budują wizerunek regionu jako nowoczesnego, otwartego i przyjaznego biznesowi.
To doskonały sposób, by pokazać klasę, smak i świadomość trendów – oraz zaprosić do współpracy firmy spoza Pomorza 🌍⚓

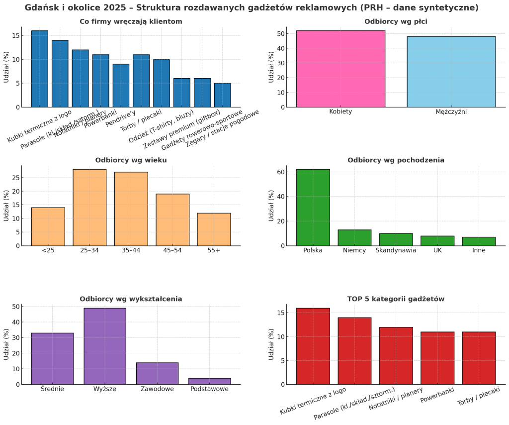
📘 Podsumowanie raportu: „Gdańsk i okolice 2025 – Struktura rozdawanych gadżetów reklamowych”
(na podstawie danych syntetycznych opracowanych w stylu badań Polish Research Hub)
🏙️ Kontekst
W 2025 roku Gdańsk, wraz z Gdynią i Sopotem, utrzymuje pozycję jednego z najbardziej aktywnych regionów biznesowych w Polsce Północnej. Wysoka koncentracja firm z sektora finansów, IT, logistyki i usług morskich przekłada się na rosnące zapotrzebowanie na gadżety reklamowe z logo, które wspierają zarówno relacje B2B, jak i promocję marek wśród turystów odwiedzających Trójmiasto.
🎁 Najczęściej wybierane gadżety
Z analizy danych wynika, że firmy z Gdańska i okolic najchętniej inwestują w praktyczne i estetyczne produkty użytkowe:
| Pozycja | Produkt | Udział (%) |
|---|---|---|
| 🥇 1 | Kubki termiczne z logo | 16% |
| 🥈 2 | Parasole reklamowe (klasyczne, składane, sztormowe) | 14% |
| 🥉 3 | Notatniki i planery reklamowe | 12% |
| 4 | Powerbanki reklamowe | 11% |
| 5 | Torby i plecaki z logo | 11% |
Produkty te łączą funkcjonalność z wysoką wartością wizerunkową – są chętnie używane na co dzień, co zwiększa ekspozycję marki.
👥 Profil odbiorców
- Płeć: kobiety (52%) i mężczyźni (48%) – równy rozkład wskazuje na brak dominacji płci w strukturze beneficjentów.
- Wiek: największa grupa to osoby w wieku 25–44 lata (55%), czyli aktywni zawodowo konsumenci.
- Wykształcenie: aż 49% odbiorców ma wykształcenie wyższe, co potwierdza, że gadżety trafiają głównie do profesjonalistów z sektora usług i biznesu.
- Pochodzenie: dominują Polacy (62%), jednak zauważalna jest również obecność gości z Niemiec, Skandynawii i Wielkiej Brytanii – co potwierdza międzynarodowy charakter Gdańska.
📈 Wnioski
- Trójmiejskie firmy postrzegają gadżety reklamowe jako narzędzie komunikacji i budowania relacji – nie tylko jako drobny upominek.
- Największy nacisk kładą na produkty trwałe i ekologiczne, które wpisują się w trend odpowiedzialnego biznesu.
- W 2025 roku rośnie znaczenie gadżetów technologicznych (powerbanki, pendrive’y) oraz sportowych (bidony, gadżety fitness), co odzwierciedla proaktywne podejście mieszkańców Pomorza do zdrowego stylu życia.
📊 Źródło: dane syntetyczne opracowane przez wywiadownię gospodarczą na zlecenie GADZETY.pl Spółka Komandytowa, w oparciu o model metodologiczny Polish Research Hub 2025.
Czy spersonalizowane gadżety reklamowe Gdańsk pomagają wspierać lokalny biznes?
💼 Gadżety reklamowe wspierają biznes – każdy, w każdym miejscu i na każdym etapie jego rozwoju. Niezależnie, czy mówimy o tętniącym życiem Gdańsku, czy o mniejszym mieście – dobrze dobrany gadżet reklamowy potrafi skutecznie wspomóc budowanie marki, zwiększyć jej rozpoznawalność i wzmocnić relacje z klientami 🤝✨.
Na początku działalności, gdy firma dopiero stawia pierwsze kroki, warto zadbać o spójny wizerunek. Pomagają w tym wizytówki, smycze, długopisy, etui, notesy, karteczki samoprzylepne czy zestawy do kolorowania dla najmłodszych. To nie tylko miłe dodatki – to narzędzia pierwszego kontaktu z marką, które zapadają w pamięć i budują pozytywne pierwsze wrażenie 🌱.
W fazie rozwoju, gdy przedsiębiorstwo staje do walki z konkurencją, rosnącymi oczekiwaniami klientów i dynamiczną technologią, gadżety reklamowe pomagają utrzymać pozycję na rynku. To dzięki nim firma może docenić dotychczasowych klientów, nagrodzić lojalność i jednocześnie pozyskać nowych partnerów biznesowych.
A kiedy marka osiągnie już stabilną pozycję – wtedy gadżety reklamowe Gdańsk stają się symbolem sukcesu. Wręczane pracownikom, kontrahentom czy klientom stanowią gest uznania i profesjonalizmu, pokazując, że firma wciąż się rozwija i nie osiada na laurach 🏆.
Dzięki nowoczesnym technikom znakowania – takim jak grawer laserowy, nadruk UV, haft komputerowy czy tłoczenie – każdy gadżet można przekształcić w produkt unikalny i ponadczasowy, tak wyjątkowy, jak samo miasto Gdańsk 🌊⚓.
👉 Bo gadżety reklamowe z logo to nie tylko przedmioty – to narzędzia komunikacji, emocji i relacji, które potrafią realnie wzmocnić każdą markę – od startupu po globalny koncern.
Gdańsk – tu też działamy. Dostarczamy gadżety z logo do Gdańska, Gdyni i Sopotu w 24h
Czy piłki plażowe jako gadżety reklamowe spodobają się moim klientom z Gdańska?
Wszystko zależy od specyfiki i profilu Twojej działalności. Dobrze aby wybrany gadżet nawiązywał charakterem do Twojej firmy. Jeśli Twoja firma zlokalizowana jest w Trójmieście to siłą rzeczy Twoi klienci oczekują fajnych i pozytywnie kojarzących się z morzem gadżetów. Piłki plażowe są idealnym przykładem, który możesz wykorzystać w swoich działaniach marketingowych. Przywołuje na myśl wakacje, beztroskę i zabawę. Tak samo pozytywnie będzie odbierana Twoja firma. Nie bój się użyć przykuwających wzrok kolorów, ciekawych form lub zabawnych grafik ale przede wszystkim nadruku logo a z pewnością piłka plażowa będzie ulubionym gadżetem reklamowym Gdańsk Twoich klientów.
Jak zamówić idealne gadżety z logotypem Gdańska dla moich klientów z zagranicy?
Dla klientów zagranicznych zasugerowalibyśmy gadżety reklamowe Gdańsk pasujące do Twojej marki, ale i nawiązujące do lokalizacji czyli do Trójmiasta i Pomorza. Coś co na długo pozostanie w ich pamięci i z czego będą długo korzystać po wyjeździe z Polski. Takim atrakcyjnym gadżetem są zegary i stacje pogodowe, które można dowolnie spersonalizować aby przywoływały chwile spędzone w Gdańsku. Inną ciekawą propozycją są wszelkie gadżety sportowe i torby podróżne. Są to nie tylko ekskluzywne produkty ale przede wszystkim niezwykle funkcjonalne.
Czy można zamówić wizualizację gadżetów reklamowych w Gdańsku?
Przygotowanie dla Ciebie wizualizacji przykładowego gadżetu reklamowego z logo Twojej firmy lub dowolnej wskazanej przez Ciebie grafiki jest dla nas przyjemnością. To część procesu powstawania unikatowych produktów, budujących Twoją relację z branżą. Dla nas to pewność, że dostaniesz gadżet, o którym marzysz a dla Ciebie gwarancja, że nie kupujesz „kota w roku”. Co więcej zrobimy to dla Ciebie gratis!
































